• Предмет: Алгебра
  • Автор: Аноним
  • Вопрос задан 11 лет назад

Помогите решить домашнее задание.

№1029.Решите уравнение:

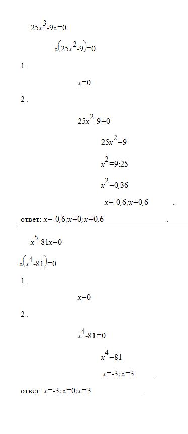
а)25х^3-9x=0

б)x^5-81x=0

 

 

 

 

 

 

 

 

 

 

Ответы

Ответ дал: triolana
0

============================================

Приложения:
Вас заинтересует