Ответы
Ответ дал:
0
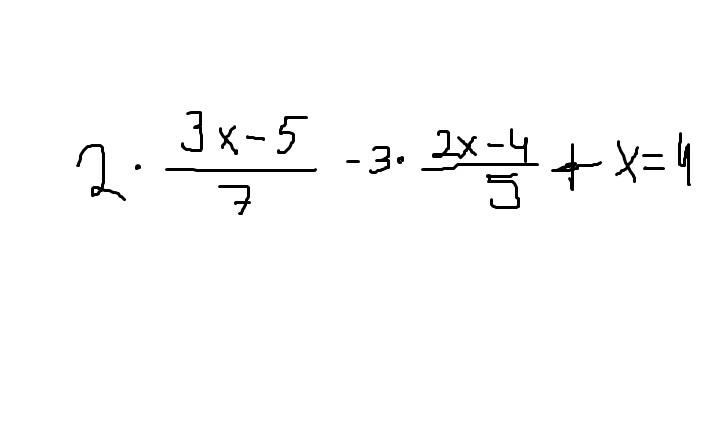
2(3x-5)/7-3(2x-4)/5+x=4 домножим все на 35, чтобы убрать знаменатели
10(3x-5)-21(2x-4)+35x=140 раскрываем скобки
30x-50-42x+84+35x=140 иксы в одну сторону, цифры в другую
30x-42x+35x=140+50-84
23x=106
x=106/23
10(3x-5)-21(2x-4)+35x=140 раскрываем скобки
30x-50-42x+84+35x=140 иксы в одну сторону, цифры в другую
30x-42x+35x=140+50-84
23x=106
x=106/23
Ответ дал:
0
Ох, спасибочки
Вас заинтересует
3 года назад
8 лет назад
8 лет назад
10 лет назад
10 лет назад
11 лет назад