• Предмет: Алгебра
  • Автор: mariya56876
  • Вопрос задан 10 лет назад

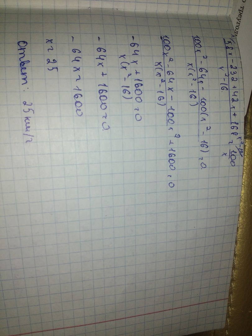
Моторная лодка прошла 58 км по течению реки и 42 км против течения за то же время,что она проходит 100 км в стоячей воде.Найдите скорость лодки в стоячей воде,если скорость течения равна 4 км/ч.Можно по понятней.

Ответы

Ответ дал: ссс111
0
алгебра, 8 класс, номер 217)))
Приложения:
Вас заинтересует