Ответы
Ответ дал:
0
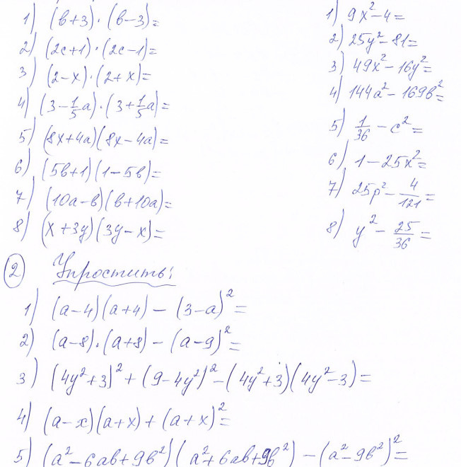
1) b^2 - 9; (3x - 2)(3x + 2)
2) 4c^2 - 1; (5y - 9)(5y + 9)
3) 4 - x^2; (7x - 4y) (7x + 4y)
4) 9 - 1/25a^2; (12a - 13b) (12a + 13b)
5) 64x^2 - 16a^2; (1/6 - c) (1/6 + c)
6) 25b^2 - 1; (1 - 5x) (1 + 5x)
7) 100a^2 - b^2; (5p - 2/11)(5 + 2/11)
8)2x^2 - 9y^2; (y - 5/6) (y+5/6)
#2:
1. 2ax
2. -64 + 18a - 81
3. 16y^4 - 2y + 99
4. 2a^2 + 2ax
5. не знаю как решать..
вроде так)
отметь ответ лучшим, если правильно))
2) 4c^2 - 1; (5y - 9)(5y + 9)
3) 4 - x^2; (7x - 4y) (7x + 4y)
4) 9 - 1/25a^2; (12a - 13b) (12a + 13b)
5) 64x^2 - 16a^2; (1/6 - c) (1/6 + c)
6) 25b^2 - 1; (1 - 5x) (1 + 5x)
7) 100a^2 - b^2; (5p - 2/11)(5 + 2/11)
8)2x^2 - 9y^2; (y - 5/6) (y+5/6)
#2:
1. 2ax
2. -64 + 18a - 81
3. 16y^4 - 2y + 99
4. 2a^2 + 2ax
5. не знаю как решать..
вроде так)
отметь ответ лучшим, если правильно))
Вас заинтересует
3 года назад
3 года назад
8 лет назад
10 лет назад
10 лет назад
11 лет назад
11 лет назад