• Предмет: Алгебра
  • Автор: No03
  • Вопрос задан 10 лет назад

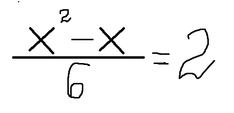
ПОМОГИТЕ ПОЖАЛУЙСТА
АЛГЕБРА 8 КЛАСС
КВАДРАТНЫЕ УРАВНЕНИЯ

Приложения:

Ответа на этот вопрос пока нет. Попробуйте найти его через форму поиска.

Вас заинтересует