Ответы
Ответ дал:
0
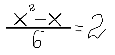
х^2-х=6×2
х^2-х=12
х^2-х-12=0
д=1-4×(-12)=49
х1=(1-7)/2=-3
х2=(1+7)/2=4
х^2-х=12
х^2-х-12=0
д=1-4×(-12)=49
х1=(1-7)/2=-3
х2=(1+7)/2=4
Ответ дал:
0
Спасибо :)
Ответ дал:
0
Очень простое квадратное уравнение, где изначально нужно избавиться от 6 в знаменателе.

Ответ: x1=4; x2=-3;
Ответ: x1=4; x2=-3;
Ответ дал:
0
Спасибо большое!
Вас заинтересует
3 года назад
8 лет назад
10 лет назад
10 лет назад
10 лет назад