• Предмет: Алгебра
  • Автор: Bahaa
  • Вопрос задан 10 лет назад

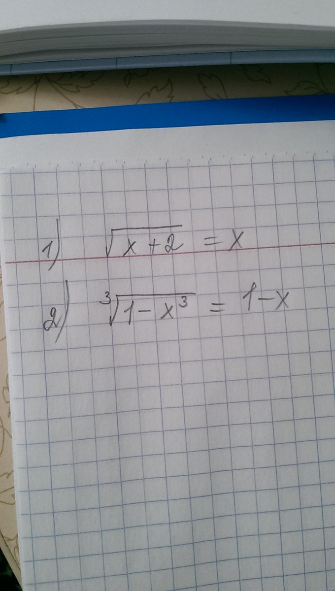
Помогите пожалуйста!Иррациональные уравнения!

Приложения:

Ответы

Ответ дал: WhaleKris
0
второе решить полностью не получилось, но вот первое готово
Приложения:
Ответ дал: WhaleKris
0
можешь отметить как лучший ответ плиз)
Ответ дал: WhaleKris
0
плииииз
Ответ дал: Bahaa
0
ехх..
Ответ дал: WhaleKris
0
спасибоооо))))
Ответ дал: Bahaa
0
Пожалуйста.
Вас заинтересует