• Предмет: Алгебра
  • Автор: ShOV240201
  • Вопрос задан 10 лет назад

Какой правильный ответ?Тут всего одно задание.

Приложения:

Ответы

Ответ дал: miron2077
0
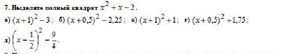
х²+х+0,25-2,25=(х+0,5)²-2,25
Вас заинтересует