Ответы
Ответ дал:
0
3,-6,-15,-24,-33,-42....
3-6-15-24-33-42=-117
Ответ дал:
0
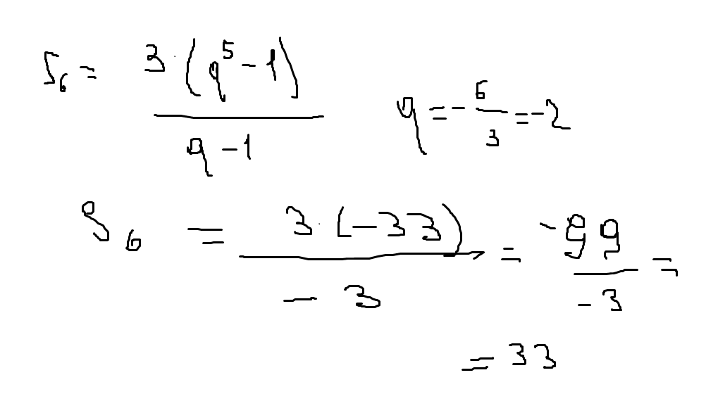
вобщем то все просто, наверное будет правильно)
Приложения:

Вас заинтересует
2 года назад
2 года назад
8 лет назад
10 лет назад
10 лет назад
10 лет назад