• Предмет: Математика
  • Автор: denny1985
  • Вопрос задан 11 лет назад

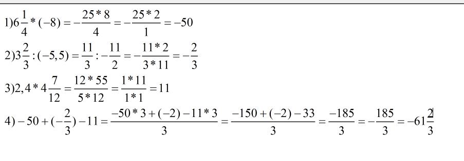
выполните действие 6 целых1/4 * (-8) + 3целых 2/3 :(-5,5) - ( 2,4 * 4 целых 7/12)

Ответы

Ответ дал: triolana
0

=======================================================

Приложения:
Вас заинтересует