• Предмет: Геометрия
  • Автор: csgost
  • Вопрос задан 10 лет назад

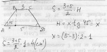
в равнобедренной трапеции основания равны 3 и 5, а один из углов между боковой стороной и основанием равен 45 градусов. Найдите площадь трапеции

Ответы

Ответ дал: математик2011
0
Удачи!_____________________
Приложения:
Вас заинтересует