• Предмет: Алгебра
  • Автор: EkaterinaKolegaeva
  • Вопрос задан 10 лет назад

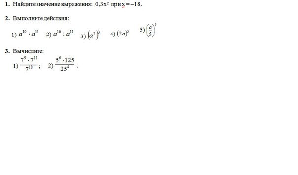
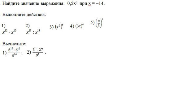
помогите пожалуйста!!!!!!
Картинка внизу

Приложения:

Ответы

Ответ дал: mrsmilegod2000
0
Лист 1)Выражение = 98 Вычислите:1)=6^26/6^24=6^2=36 2)=(3^11*3^3)/3^12=3^2=9 Выполнить действия:1)=x^22 2)=x^5 3)=x^12 4)=81x^4 5)=(x^3)/27 Лист2)выражение= 162 Выполнить действие:1)=a^25 2)=a^5 3)=a^21 4)=32a^5 5)=(a^3)/125 Вычислить:1)=7^2=49 2)=5^1=5 /-разделить ^- в степени
Вас заинтересует