• Предмет: Алгебра
  • Автор: sasha1365
  • Вопрос задан 10 лет назад

алгебра помощь,решение уравнения

Приложения:

Ответы

Ответ дал: NadDer
0
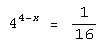
4^4-x = 116
4^4 4^х = 4^-2
4-x = -2
-x = -2-4
-x = -6
х= 6
Ответ дал: NadDer
0
надо исправить!!!
Ответ дал: sasha1365
0
x=6?
Вас заинтересует