• Предмет: Химия
  • Автор: Аноним
  • Вопрос задан 10 лет назад

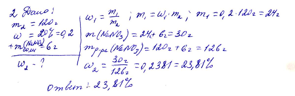
2) К 120 г 20%-ного раствора нитрата натрия добавили 6 г соли.Рассчитайте массовую долю серной кислоты в полученном растворе.

Ответы

Ответ дал: mrvladimir2
0
решение задачи см в приложении
Приложения:
Вас заинтересует