• Предмет: Алгебра
  • Автор: astr0nautt
  • Вопрос задан 10 лет назад

Даю 15 баллов, решите пожалуйста 10 пример, буду благодарен за помощь!!!

Приложения:

Ответы

Ответ дал: okneret
0
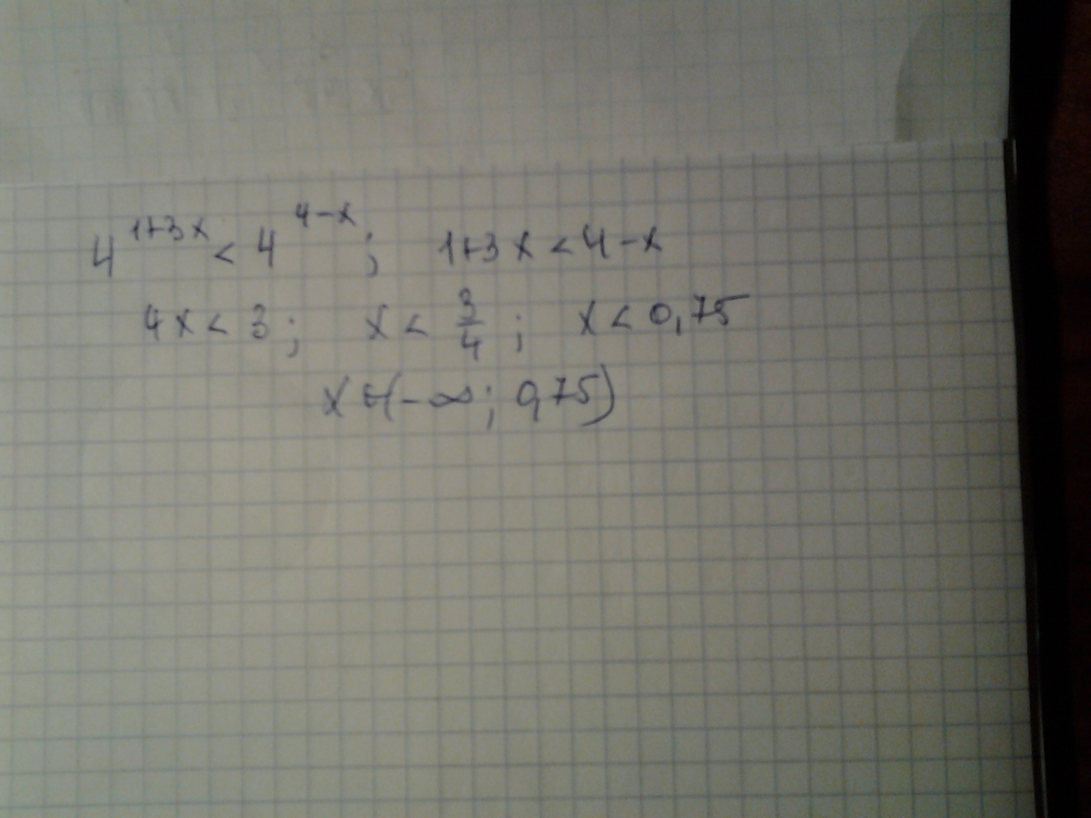
Применены свойства степени
Приложения:
Ответ дал: astr0nautt
0
Я очень благодарен Вам!!!
Ответ дал: okneret
0
Рада помочь!
Вас заинтересует