• Предмет: Алгебра
  • Автор: MrSmit200
  • Вопрос задан 10 лет назад

Докажите что при любом натуральном n значение выражения:
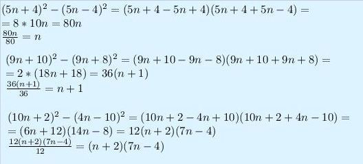
1) (5n+4)²-(5n-4)² делится нацело на 80
2) (9n+10)²-(9n+8)² делится нацело на 36
3) (10n+2)²-(4n-10)² делится нацело на12

Пожалуйста помогите!!!

Ответы

Ответ дал: crafting2000203
0
....................................
Приложения:
Ответ дал: MrSmit200
0
Спасибо!!!
Вас заинтересует