• Предмет: Алгебра
  • Автор: Dapex
  • Вопрос задан 10 лет назад

Решить уравнения. Помогите срочно!Ну хоть кто нибудь очень нужно

Приложения:

Ответы

Ответ дал: zuprovs
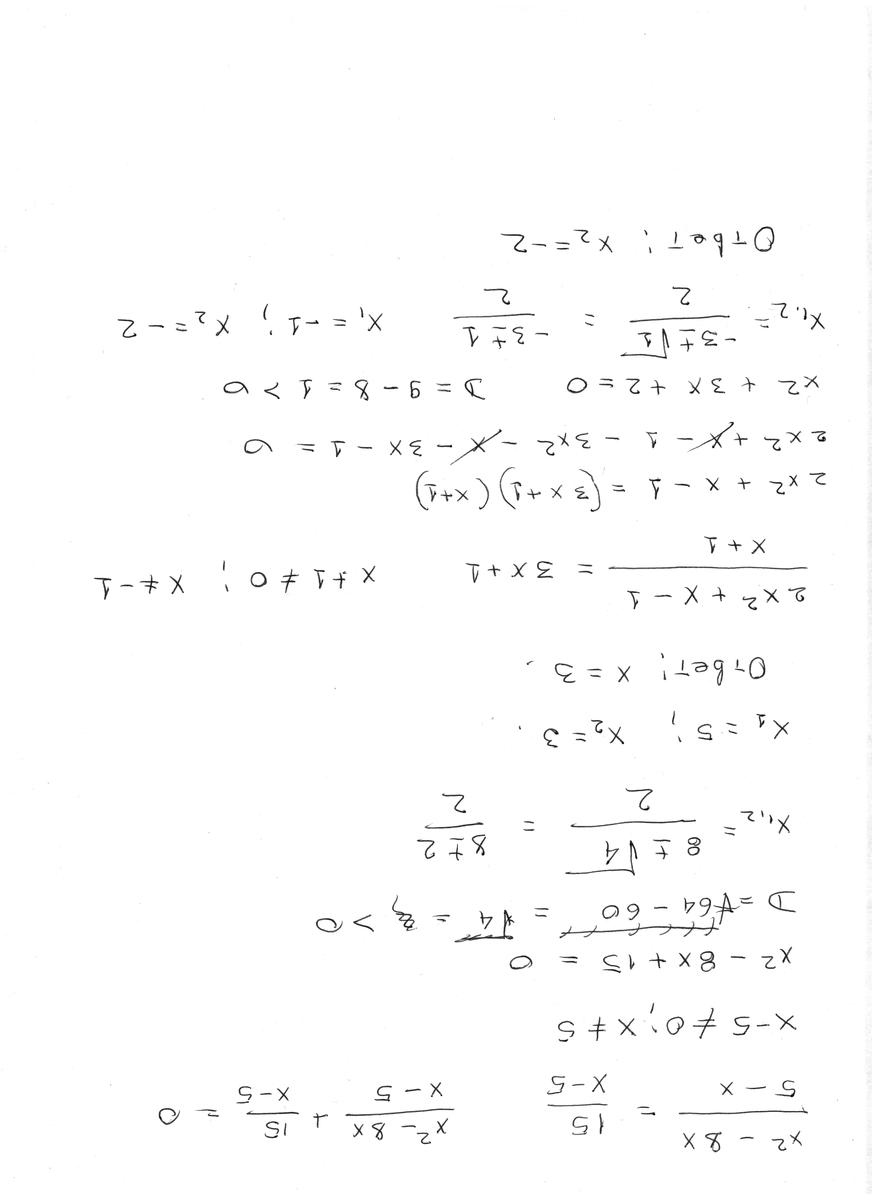
0
прикрепляю решения двух задач
Приложения:
Вас заинтересует