Ответы
Ответ дал:
0
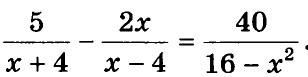
(5(х-4)-2х(х+4)+40)х^2-16=0
5х-20-2х^2-8x+40=0
-2х^2-3х+20=0
2х^2+3x-20=0
D=9+160=169
x1=(-3+13)/4=2,5
x2=(-3-13)/4=-4
знаменатель х^2-16 не равен 0
х не равен-4 и 4 так как на ноль делить нельзя отсюда ответ 2,5
Еще знаменатель 16-х^2 умножили на -1 получаем х^2-16
5х-20-2х^2-8x+40=0
-2х^2-3х+20=0
2х^2+3x-20=0
D=9+160=169
x1=(-3+13)/4=2,5
x2=(-3-13)/4=-4
знаменатель х^2-16 не равен 0
х не равен-4 и 4 так как на ноль делить нельзя отсюда ответ 2,5
Еще знаменатель 16-х^2 умножили на -1 получаем х^2-16
Вас заинтересует
2 года назад
2 года назад
8 лет назад
8 лет назад
10 лет назад
10 лет назад
10 лет назад