Ответы
Ответ дал:
0
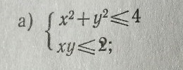
Определяющим является первое выражение - это совокупность точек, лежащих внутри окружности радиусом R=√4 = 2. У них сумма квадратов координат по осям "Х" и "У" меньше 4.
Эта площадь и есть решение заданной системы.
Решением второго выражения является часть координатной плоскости между осью "Х" и гиперболой, заданной уравнением у = 2 / х.
Эта площадь и есть решение заданной системы.
Решением второго выражения является часть координатной плоскости между осью "Х" и гиперболой, заданной уравнением у = 2 / х.
Вас заинтересует
2 года назад
2 года назад
8 лет назад
8 лет назад
10 лет назад
10 лет назад