• Предмет: Математика
  • Автор: Аноним
  • Вопрос задан 10 лет назад

срочно!!! помогите! пожалуйста.

Приложения:

Ответы

Ответ дал: hollowcaust
0
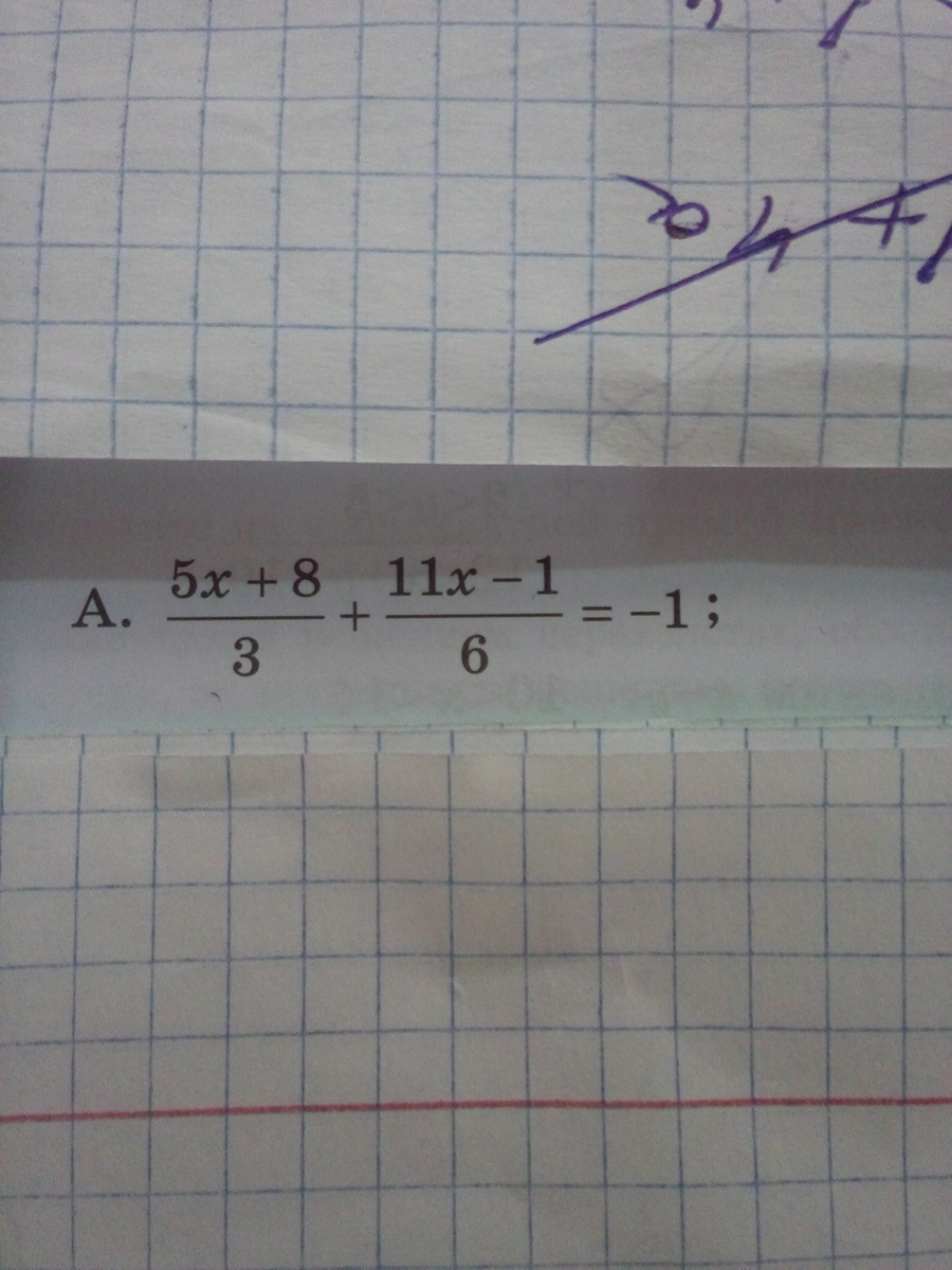
 frac{5x + 8}{3}  +  frac{11x - 1}{6} = - 1 \   frac{5x + 8}{3}  +  frac{11x - 1}{6} + 1= 0 \  frac{10 x + 16 + 11x - 1 + 6}{6} = 0 \ 21x + 21 = 0 \ x+1 = 0 \ x = -1
Вас заинтересует