• Предмет: Алгебра
  • Автор: Valeria9794723
  • Вопрос задан 10 лет назад

Помогите решить уравнения пожайлуста подробнее:
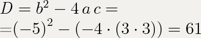
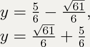
1)3y^2-5y-3=0
2)4y^2-7y+1=0

Ответы

Ответ дал: vifi
0
Три первых фото это 3y^2-5y-3=0
Приложения:
Вас заинтересует