Ответы
Ответ дал:
0
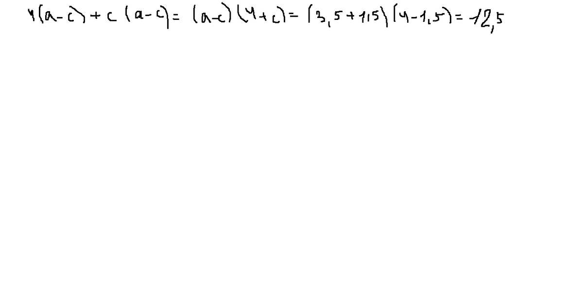
Получится вот так :)
Приложения:

Ответ дал:
0
спасибо большое
Ответ дал:
0
тут еше есть номера поможите??
Вас заинтересует
2 года назад
2 года назад
7 лет назад
7 лет назад
10 лет назад