решите очень нужно 1 и 2 рис это пример как решать 3 рис там даны сразу две задачи увидите
Приложения:
Ответы
Ответ дал:
0
1
AB=√(-5+6)²=(5-2)²=√(1+9)=√10
BC=√(-2+5)²+(6-5)²=√(9+1)=√10
CD=√(-3+2)²+(3-6)²=√(1+9)=√10
AD=√(-3+6)²+(3-2)²=√(9+1)=√10
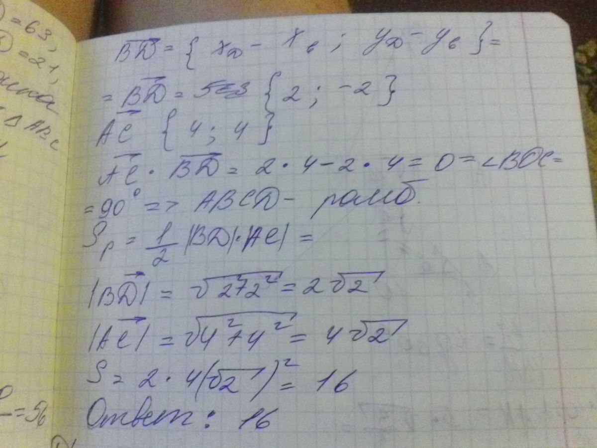
Значит ABCD либо ромб либо квадрат⇒AC_|_BD⇒
S=(AC*BD/2
AC=√(-2+6)²+(6-2)²=√(16+16)=√*16=4√2
BD=√(-3+5)²+(3-5)²=√(4+4)=√2*4=2√2
S=4√2*2√2/2=8
2
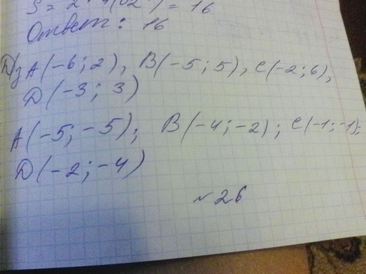
AB=√(-4+5)²+(-2+5)²=√(1+9)=√10
BC=√(-1+4)²+(-1+2)²=√(9+1)=√10
CD=√(-2+1)²+(-4+1)²=√(1+9)=√10
AD=√(-2+5)²+(-4+5)²=√(9+1)=√10
Значит ABCD либо ромб либо квадрат⇒AC_|_BD⇒
S=(AC*BD/2
AC=√(-1+5)²+(-1+5)²=√(16+16)=√2*16=4√2
BD=√(-2+4)²+(-4+2)²=√(4+4)=√2*4=2√2
S=4√2*2√2/2=8
AB=√(-5+6)²=(5-2)²=√(1+9)=√10
BC=√(-2+5)²+(6-5)²=√(9+1)=√10
CD=√(-3+2)²+(3-6)²=√(1+9)=√10
AD=√(-3+6)²+(3-2)²=√(9+1)=√10
Значит ABCD либо ромб либо квадрат⇒AC_|_BD⇒
S=(AC*BD/2
AC=√(-2+6)²+(6-2)²=√(16+16)=√*16=4√2
BD=√(-3+5)²+(3-5)²=√(4+4)=√2*4=2√2
S=4√2*2√2/2=8
2
AB=√(-4+5)²+(-2+5)²=√(1+9)=√10
BC=√(-1+4)²+(-1+2)²=√(9+1)=√10
CD=√(-2+1)²+(-4+1)²=√(1+9)=√10
AD=√(-2+5)²+(-4+5)²=√(9+1)=√10
Значит ABCD либо ромб либо квадрат⇒AC_|_BD⇒
S=(AC*BD/2
AC=√(-1+5)²+(-1+5)²=√(16+16)=√2*16=4√2
BD=√(-2+4)²+(-4+2)²=√(4+4)=√2*4=2√2
S=4√2*2√2/2=8
Ответ дал:
0
CheGuevara23
середнячок
ОТВЕТЫ
БАЛЛЫ
БЛАГОДАРНОСТИ
Ответы по
Zsedina, спаси меня :с
http://znanija.com/task/16848557
Вас заинтересует
2 года назад
2 года назад
8 лет назад
8 лет назад
10 лет назад
10 лет назад
10 лет назад