Помогите если не сложно!))Даю 60 баллов Расставьте коэффициенты в уравнениях методом электронного баланса. Помогите определить концентрацию азотной кислоты
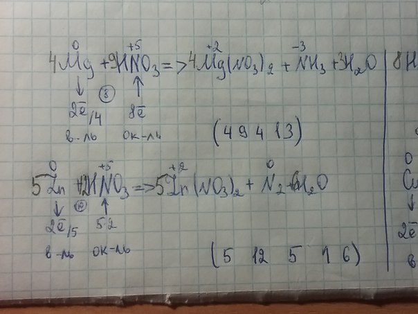
Mg+HNO3=Mg(NO3)+NH3+H2O
Zn+HNO3=Zn(NO3)+N2+H2O
HNO3+Cu=Cu(NO3)+NO+H2O
Cu+HNO3=Cu(NO3)+NO2+H2O
Ответы
Ответ дал:
0
Вот уравнения
В скобочках написаны коэффициенты если не видно
С концентрацией к сожалению не помогу
В скобочках написаны коэффициенты если не видно
С концентрацией к сожалению не помогу
Приложения:


Вас заинтересует
2 года назад
2 года назад
7 лет назад
7 лет назад
10 лет назад
10 лет назад
10 лет назад