• Предмет: Математика
  • Автор: ExpertEat
  • Вопрос задан 11 лет назад

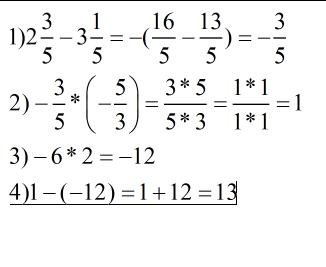
( 2 ц 3/5 - 3ц1/5 ) * (- 5/3) - ( -6) * 2

Ответы

Ответ дал: triolana
0

по действиям

=============================================================

Приложения:
Вас заинтересует