Ответы
Ответ дал:
0
Смотри вложение :) ..
Приложения:

Ответ дал:
0
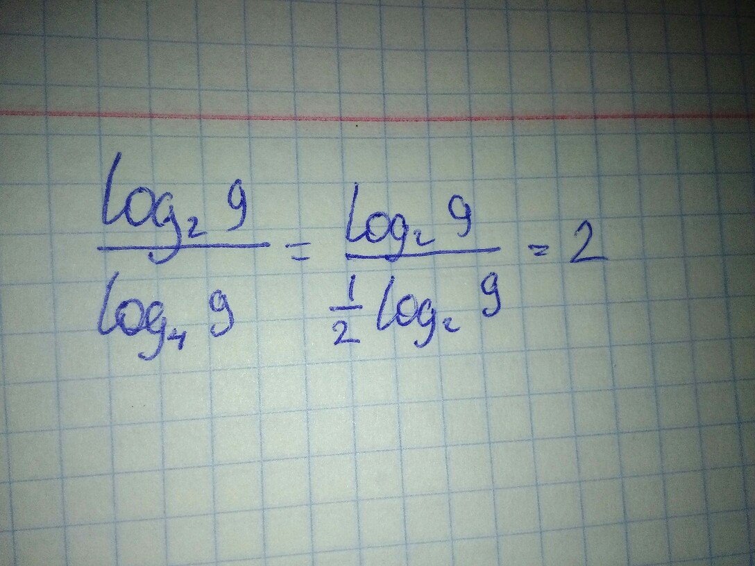
=log2 9/log4 9= log2 9/1/2log2 9=таким образом log2 9 сокращаются и получаем ответ 2
Приложения:

Вас заинтересует
2 года назад
7 лет назад
7 лет назад
10 лет назад
10 лет назад
10 лет назад