• Предмет: Математика
  • Автор: banankaa
  • Вопрос задан 10 лет назад

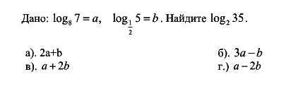
Логарифмы. Помогите, пожалуйста.
Привела к общему основанию, получив при этом  frac{1}{3}  log_{2} 7=a и - log_{2} 5=b

Приложения:

Ответа на этот вопрос пока нет. Попробуйте найти его через форму поиска.

Вас заинтересует