Помогите, пожалуйста, решить примеры по алгебре на тему: " Производные. Правила дифференцирования"
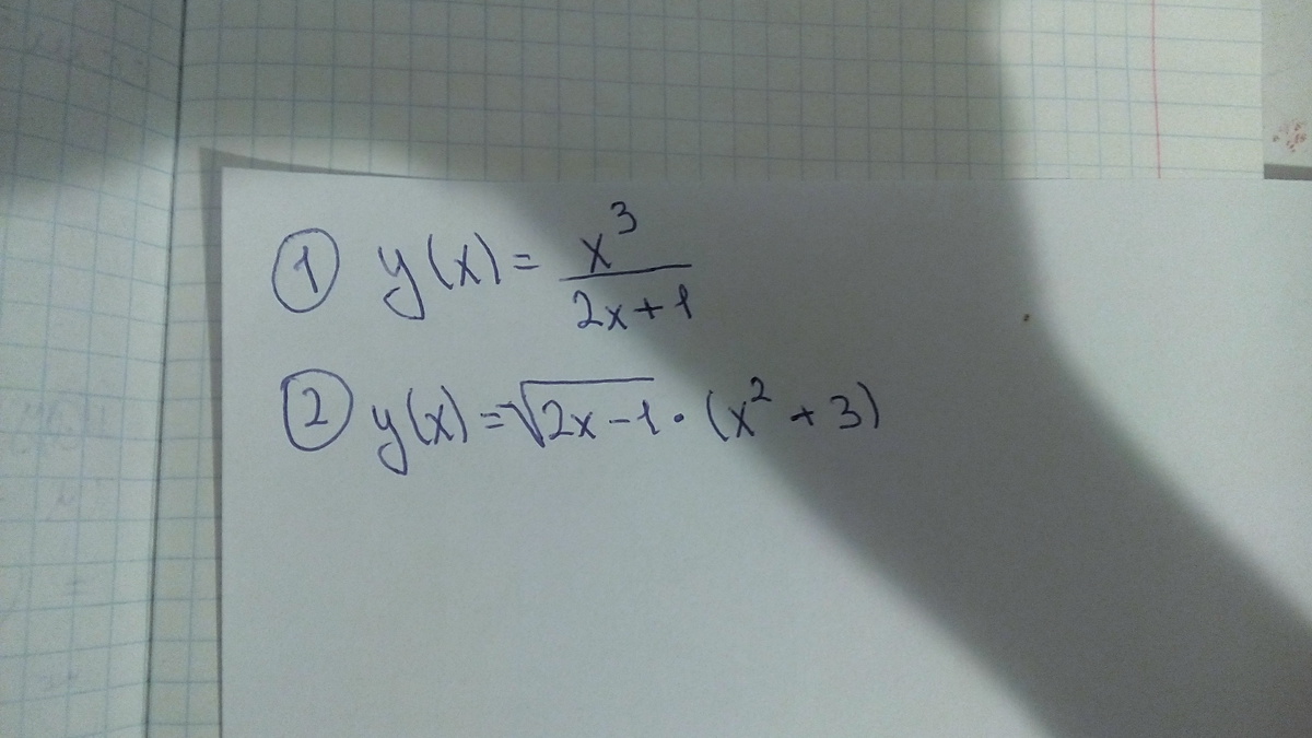
С помощью правил дифференцирования найти y'(x) , если: (примеры на фото)
Приложения:

Ответы
Ответ дал:
0
Без паники!
1. y'(x) = (u'*v-v'*u)/v^2 = ((3x^2)*(2x+1)-2*x^3)/(2x+1)^2=(6x^3+3x^2-2x^3)/(2x+1)^2= (4x^3+3x^2)/(2x+1)^2= (4x^3+2x^2+x^2)/(2x+1)^2= 2x^2*(1/2x+1) + (x/(2x+1))^2
2. y'(x) = u'*v+v'*u. Учтем, что производная от первой функции берется как производная от сложной функции.
Тогда: u'= 1/(2√2x-1)*2=1/√2x-1
Считаем y'(x) = (1/√2x-1)*(x^2+3)+(√2x-1)*2x . Раз первое слагаемое - дробь, то приводим к общему знаменателю 1/√2x-1. Тогда y'(x) = (5x^2-2x+3)/ √2x-1
Вроде все.
1. y'(x) = (u'*v-v'*u)/v^2 = ((3x^2)*(2x+1)-2*x^3)/(2x+1)^2=(6x^3+3x^2-2x^3)/(2x+1)^2= (4x^3+3x^2)/(2x+1)^2= (4x^3+2x^2+x^2)/(2x+1)^2= 2x^2*(1/2x+1) + (x/(2x+1))^2
2. y'(x) = u'*v+v'*u. Учтем, что производная от первой функции берется как производная от сложной функции.
Тогда: u'= 1/(2√2x-1)*2=1/√2x-1
Считаем y'(x) = (1/√2x-1)*(x^2+3)+(√2x-1)*2x . Раз первое слагаемое - дробь, то приводим к общему знаменателю 1/√2x-1. Тогда y'(x) = (5x^2-2x+3)/ √2x-1
Вроде все.
Ответ дал:
0
Ого Премного благодарен
Ответ дал:
0
Обращайтесь, сударь, еще)))
Вас заинтересует
2 года назад
2 года назад
7 лет назад
10 лет назад
10 лет назад
10 лет назад