помогите срочно сижу на контрольке и пожалуйста не писать всякий бред
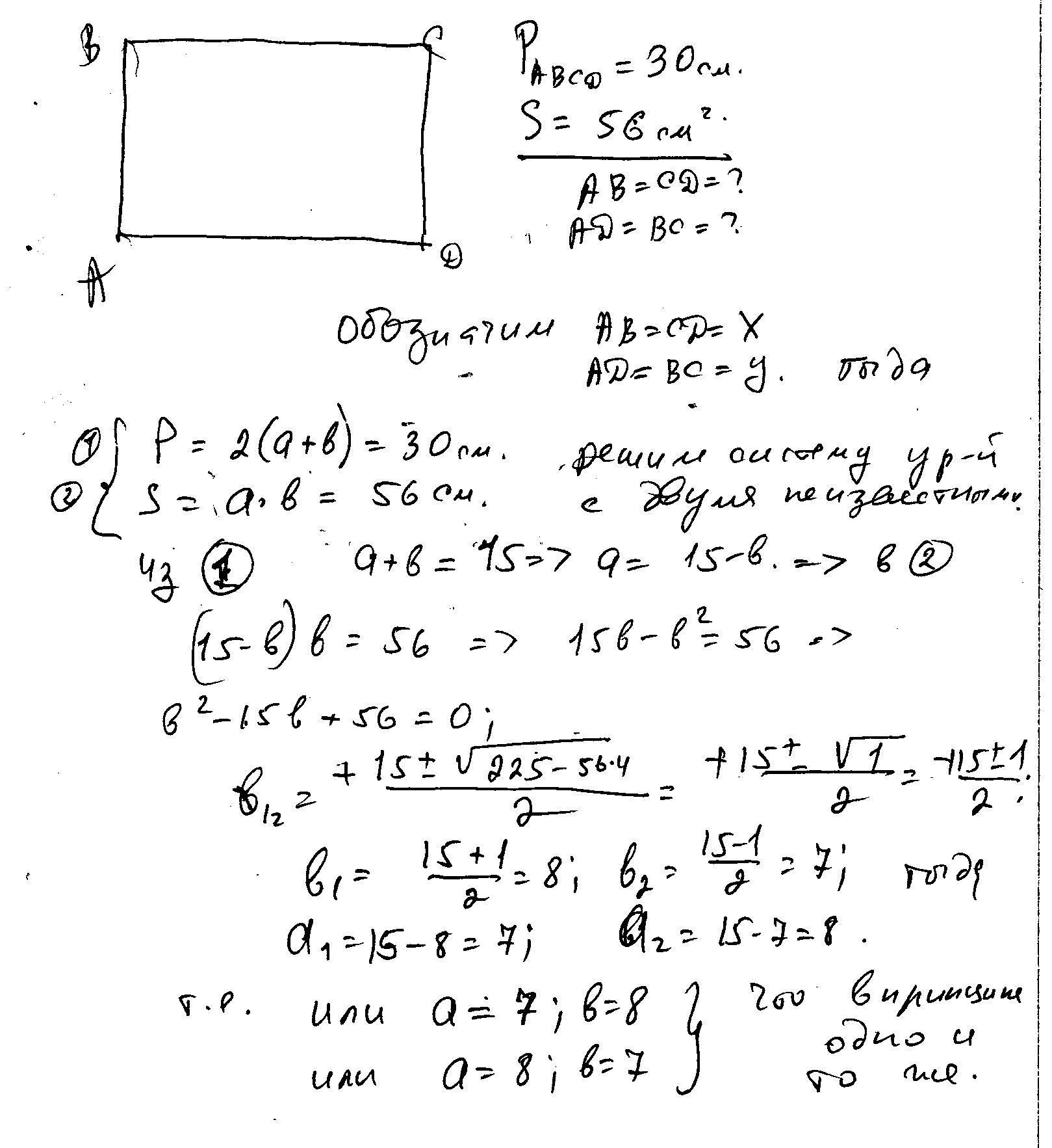
1)ПЕРИМЕТР ПРЯМОУГОЛЬНИКА РАВЕН 30 СМ. НАЙДИТЕ ЕГО СТОРОНЫ ,ЕСЛИ ИЗВЕСТНО ЧТО ЕГО ПЛОЩАДЬ РАВНА 56СМ ²
Ответы
Ответ дал:
0
ПЕРИМЕТР ПРЯМОУГОЛЬНИКА РАВЕН 30 СМ. НАЙДИТЕ ЕГО СТОРОНЫ ,ЕСЛИ ИЗВЕСТНО ЧТО ЕГО ПЛОЩАДЬ РАВНА 56СМ ²
Приложения:
Вас заинтересует
3 года назад
3 года назад
8 лет назад
8 лет назад
10 лет назад
10 лет назад
10 лет назад