• Предмет: Алгебра
  • Автор: Pavelilik
  • Вопрос задан 10 лет назад

Решите, пожалуйста, алгебру! спасибо)

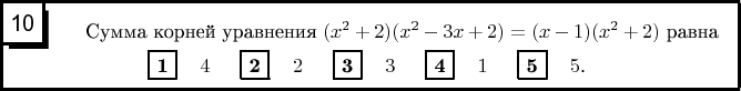
Приложения:

Ответы

Ответ дал: 777Helen
0
Смотри решение во вложении
Приложения:
Вас заинтересует