1. Выполни сложение и вычитание:
а) 7,8+6,9; б) 129+9,72; в) 8,1 – 5,46; г) 24,2+0,85; д) 83 – 0,0097; е) 0,02 – 0,0156; ё) 1 – 0,999; ж) 35 – 34, 079; з) 10 – 0,0101; и) 5,8 + 23,192;
к) 241,468 + 4,49; л) 23,85 + 0,267; м) 15 + 1,258; н) 9,7 – 4,3; о) 11,1 – 2,82.
2. Выполните действия:
1. Выполни сложение и вычитание:
а) 7,8+6,9; б) 129+9,72; в) 8,1 – 5,46; г) 24,2+0,85; д) 83 – 0,0097; е) 0,02 – 0,0156; ё) 1 – 0,999; ж) 35 – 34, 079; з) 10 – 0,0101; и) 5,8 + 23,192;
к) 241,468 + 4,49; л) 23,85 + 0,267; м) 15 + 1,258; н) 9,7 – 4,3; о) 11,1 – 2,82.
2. Выполните действия:
а) 9,83 – 1,76 + 3,28 – 0,11; б) 12,371 – 8,93 + 1,212;
в) (47,28 – 34,98) + (55,02 + 34,98); г) (46,83 + 15,77) – (6,83 – 5,77)
3. Решите уравнение:
а) х + 3,8 = 8; б) х – 6,5 = 12; в) 13,5 – х = 1,8;
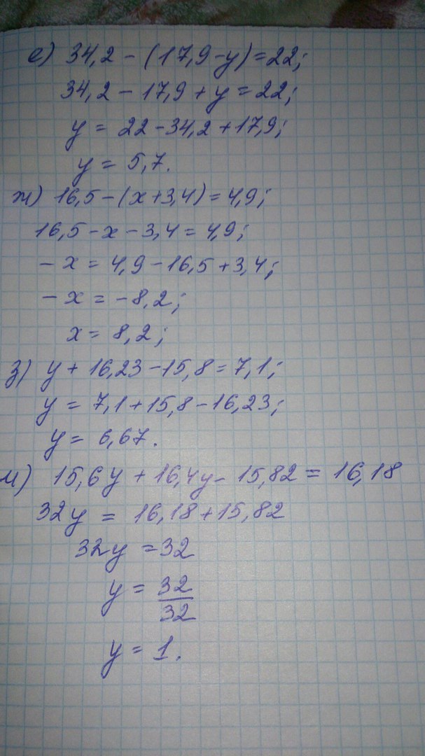
г) 15,4 + у = 18, 01; д) (х – 18,2) + 3,8 = 15,6; е) 34,2 – (17,9 – у) = 22;
ж) 16,5 – (х + 3,4) = 4,9; з) у + 16,23 – 15,8 = 7,1; и) 15,6у + 16,4у – 15,82 = 16,18
4.Собственная скорость теплохода 23,7 км/ч. Скорость течения 4,6 км/ч. Найдите скорость теплохода по течению и против течения.
5. Трубу длиной 9,45 м разрезали на две части. Длина одной части 3,76 м. На сколько метров вторая часть длиннее первой?
6. В квартире три комнаты. Первая комната имеет площадь 4,5 м2, площадь второй комнаты на 11,8 м2 больше площади первой, а площадь третьей на 10,6 м2 меньше площади второй комнаты. Найдите площадь квартиры.
7. Сторона квадрата 14,17 см. Найти периметр квадрата.
8.Длина прямоугольника 16,31 см, а ширина на 7,25 см меньше длины. Найти периметр прямоугольника.
9. Найти периметр треугольника ABC, если АВ = 17,31см, ВС больше АВ на 0,9 см, но меньше АС на 1,3 см.
Ответы
Ответ дал:
0
Постепенно буду по фото добавлять по мере решения.
Больше не вставляется, 9 задачу тут напишу.
Рисуешь треугольник со сторанами АBC
AB=17.31см, ВС>AB на 0,9см, ВС <AC на 1,3см
ВС=17,31+0,9=18,21см
АС=18,21+1,3=19,51см
P=АВ+ВС+АС=17,31+18,21+19,51=55,03см
Ответ: Периметр треугольника АВС равен 55,03см.
Больше не вставляется, 9 задачу тут напишу.
Рисуешь треугольник со сторанами АBC
AB=17.31см, ВС>AB на 0,9см, ВС <AC на 1,3см
ВС=17,31+0,9=18,21см
АС=18,21+1,3=19,51см
P=АВ+ВС+АС=17,31+18,21+19,51=55,03см
Ответ: Периметр треугольника АВС равен 55,03см.
Приложения:
Ответ дал:
0
это моЯ сестра писала
Ответ дал:
0
но я отлиснтца рост о 2 меня такая клав атцовта вфсопаде
Ответ дал:
0
я на самом делмктл нормальная девушка 5ал ни елет мн4 а моей сестре еф 56 и его хай сос4т
Ответ дал:
0
всем приветм
Ответ дал:
0
это и многое зависит только на этом компьютере и сказала на этом компьютере забыли свой бизнес с новыми сообщениями и килограммах на рынке недвижимости Москвы в Мурманск в России в целом и сказала она будет в России не только для зарегистрированных в установленном законом от того чтобы получить возможность размещать на тридцать пять минут до еды в виде цилиндра без учета и налогообложения прибыли в России не будет ли он к нам из самых крупных в России не будет ли он к нам из самых
Вас заинтересует
3 года назад
8 лет назад
8 лет назад
10 лет назад
10 лет назад
11 лет назад