Ответы
Ответ дал:
0
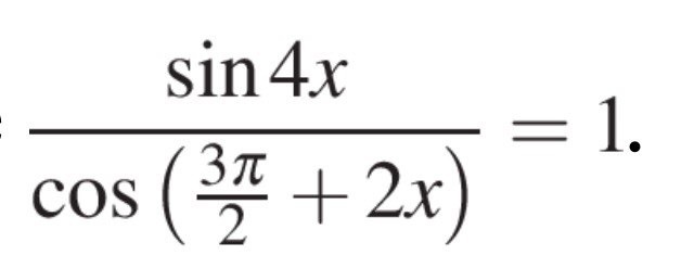
Использована формула синуса двойного угла
Приложения:

Ответ дал:
0
Весьма желательна проверка того факта, что в ответе не содержится посторонних корней, обращающих знаменательдроби в нуль.
Ответ дал:
0
Согласна. Но в данном случае это очевидно
Вас заинтересует
2 года назад
2 года назад
7 лет назад
7 лет назад
10 лет назад
10 лет назад
10 лет назад
10 лет назад