• Предмет: Алгебра
  • Автор: Brilliant05
  • Вопрос задан 11 лет назад

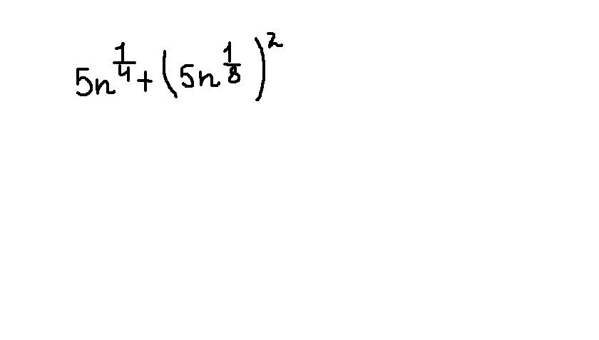
Помогите пожалуйста,ребятки))))Найти значения выражения

Приложения:

Ответы

Ответ дал: arsenlevadniy
0

 

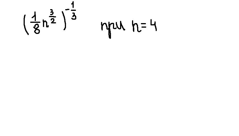
<var>(frac{1}{8}n^{frac{3}{2}}})^{-frac{1}{3}}=(frac{1}{8})^{-frac{1}{3}}cdot(n^{frac{3}{2}}})^{-frac{1}{3}}=8^{frac{1}{3}}cdot n^{frac{3}{2}cdot(-frac{1}{3})}=sqrt[3]{8}cdot n^{-frac{1}{2}}= \ =2cdot (frac{1}{n})^{frac{1}{2}}=2sqrt{frac{1}{n}}=2frac{1}{sqrt{n}}=frac{2}{sqrt{n}}, \ frac{2}{sqrt{n}}=frac{2}{sqrt{4}}=frac{2}{2}=1.</var>=

Вас заинтересует