Ответы
Ответ дал:
0
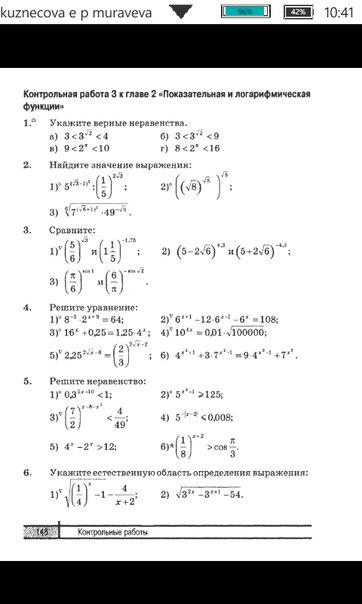
№1
log5(125)=5
5⁵=3125 (НЕПРАВИЛЬНО)
log64(4)=3
64³=262144 (НЕПРАВИЛЬНО)
log2(1/2)=-1
2^-1=1/2 (ПРАВИЛЬНО)
log0,5(4)=√2
0.5^√2=меньше 4 (НЕПРАВИЛЬНО)
№4
1)2^-9*2^x+9=2^6
-9+x+9=6
x=6-9-9
x=6
3)16^x+0.25=1.25*4x (решений нет или неправильно списал, плохо видно)
№11
Решение во вложении (я так и не понял плюс или минус, так что будет несколько)
log5(125)=5
5⁵=3125 (НЕПРАВИЛЬНО)
log64(4)=3
64³=262144 (НЕПРАВИЛЬНО)
log2(1/2)=-1
2^-1=1/2 (ПРАВИЛЬНО)
log0,5(4)=√2
0.5^√2=меньше 4 (НЕПРАВИЛЬНО)
№4
1)2^-9*2^x+9=2^6
-9+x+9=6
x=6-9-9
x=6
3)16^x+0.25=1.25*4x (решений нет или неправильно списал, плохо видно)
№11
Решение во вложении (я так и не понял плюс или минус, так что будет несколько)
Приложения:


Вас заинтересует
2 года назад
2 года назад
7 лет назад
7 лет назад
10 лет назад
10 лет назад