• Предмет: Алгебра
  • Автор: AnyGool
  • Вопрос задан 11 лет назад

Здравствуйте. Помогите пожалуйста с решениями ( затемпературила теперь ((((( )

прошу помогите пожалуйста !

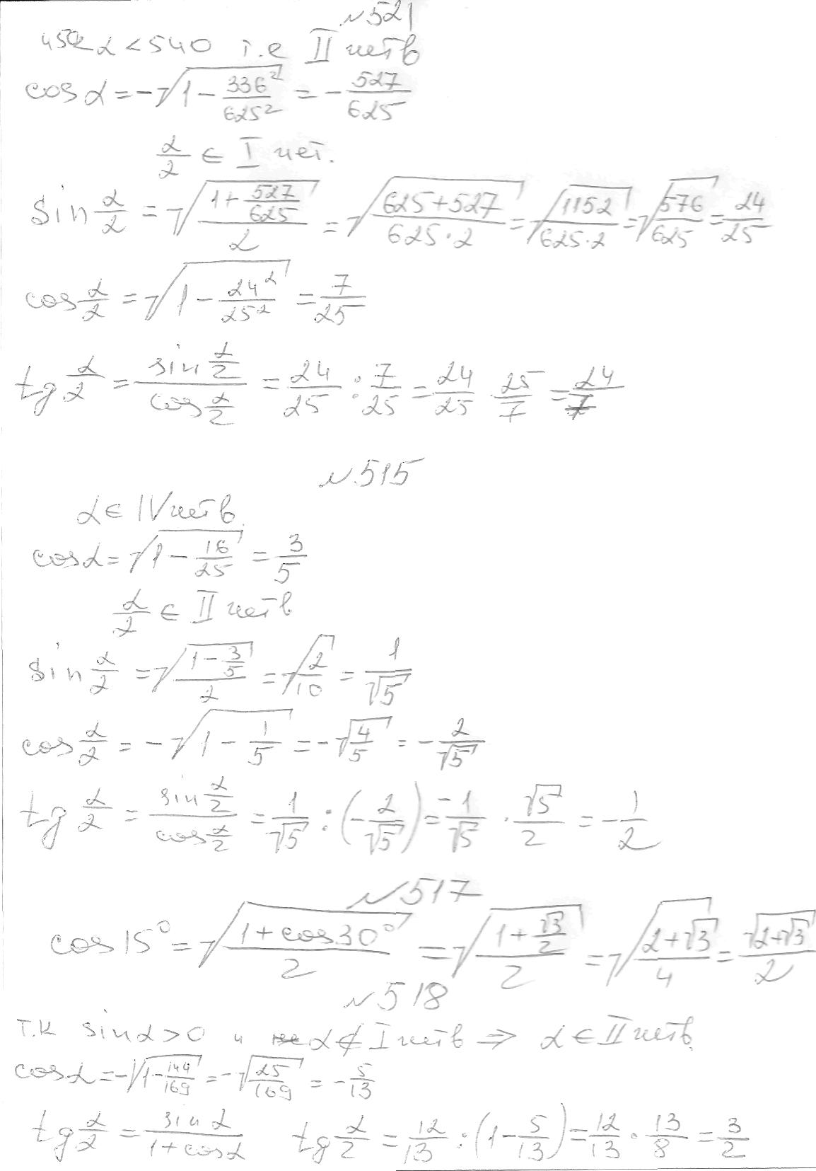
№515(2), 517(2), 518(2) , и 521

Приложения:

Ответы

Ответ дал: Yena
0

.......................................................................................

Приложения:
Вас заинтересует