• Предмет: Математика
  • Автор: mozgin
  • Вопрос задан 10 лет назад

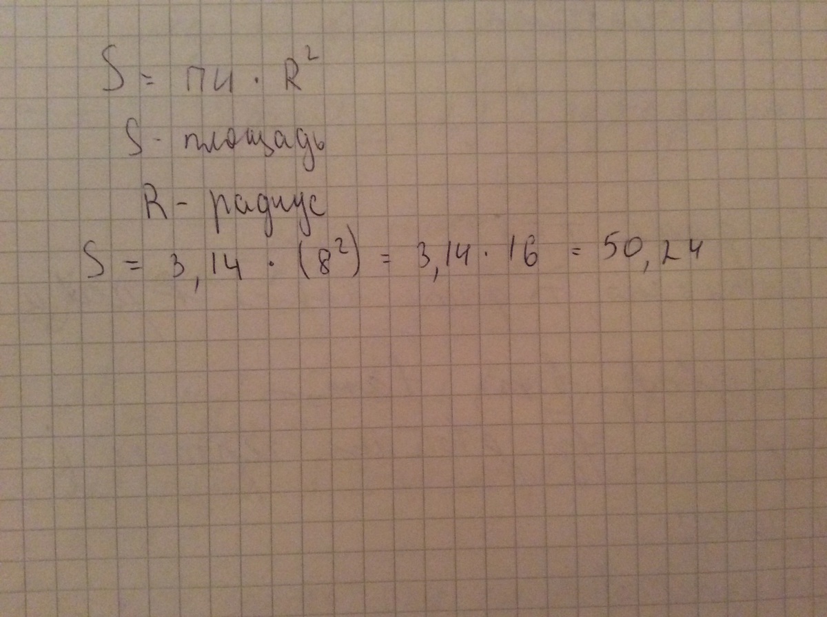
Найдите площадь окружности, диаметр которой равен 8 см.

Ответы

Ответ дал: Крольчонок555
0
Надеюсь помогла)))))))))))))
Приложения:
Ответ дал: Magnitogorskru
0
Так тоже хорошо
Вас заинтересует