• Предмет: Алгебра
  • Автор: myasnikovamaria
  • Вопрос задан 10 лет назад

Пожалуйста, помогите. Болела и пропустила новую тему
Система:
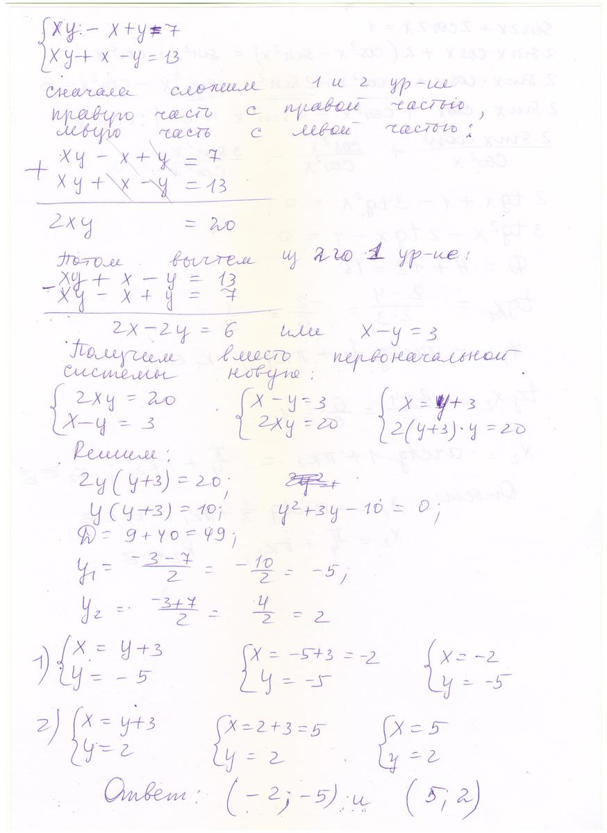
xy-x+y=7
xy+x-y=13
Подробное объяснение!

Ответы

Ответ дал: alfabetta
0
смотри приложенный файл
Приложения:
Ответ дал: myasnikovamaria
0
Спасибо :з
Ответ дал: myasnikovamaria
0
Ты даже не представляешь, как меня выручила ❤
Вас заинтересует