Ответы
Ответ дал:
0
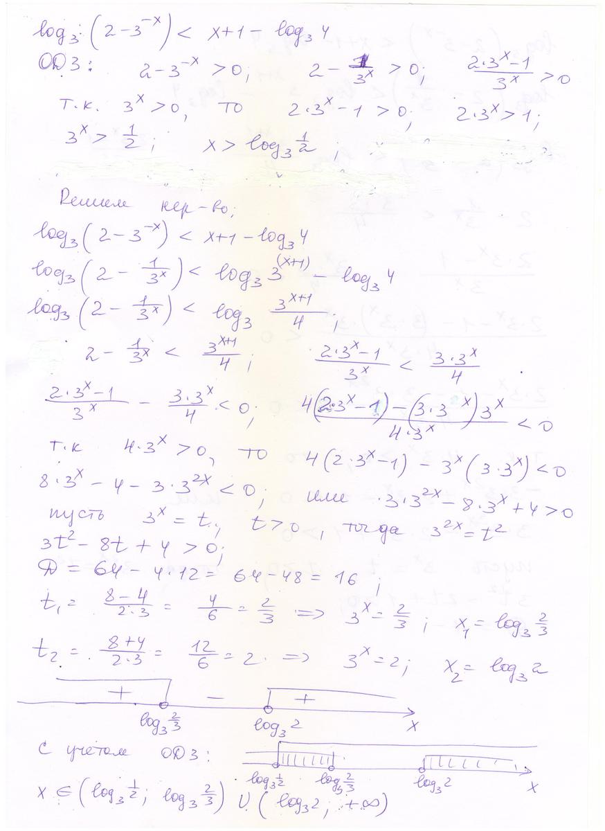
смотри приложенный файл
Приложения:


Ответ дал:
0
Это я такое в школе не решала, хотя 11 классов прошла, как так
Ответ дал:
0
Это наверно высшая математика
Ответ дал:
0
Большое спасибо за помощь
Вас заинтересует
2 года назад
7 лет назад
10 лет назад
10 лет назад
10 лет назад