Ответы
Ответ дал:
0
х+3у=5
ху=2
Решение.
1) Выразим х через у из первого уравнения системы: х = 5 - 3у.
2)Подставим полученное выражение вместо х во второе уравнение системы: (5 - 3у) у — 2.
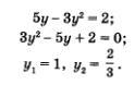
3)Решим полученное уравнение
4) Подставим поочередно каждое из найденных значений у в формулу х = 5 - Зу.
ху=2
Решение.
1) Выразим х через у из первого уравнения системы: х = 5 - 3у.
2)Подставим полученное выражение вместо х во второе уравнение системы: (5 - 3у) у — 2.
3)Решим полученное уравнение
4) Подставим поочередно каждое из найденных значений у в формулу х = 5 - Зу.
Приложения:
Вас заинтересует
3 года назад
3 года назад
8 лет назад
10 лет назад
10 лет назад
11 лет назад
11 лет назад