Ответы
Ответ дал:
0
Рассмотрим пределы:
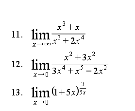
11) В этом пределе неизвестной стремится к бесконечности, если мы подставим в числитель и знаменатель бесконечность получится неопределенность бесконечность/бесконечность(бесконечность делить на бесконечность) В этом случае нужно и числитель и знаменатель разделить на большую степень которой является x^4 тогда предел будет равен: 0/2, общий ответ:0
12)В этом пределе во первых в числителе мы должны привести подобные и будет там 4x^2 а затем вынести в знаменателе те же самые x^2 как общий множитель и сократить на него, в итоге останется ответ
lim(x->0) 4/(3x^2+x^3-2)=4/-2=-2 - это и будет ответ
13) Этот предел является вторым замечательным и все выражение кроме 3 в степени будет равно числу е а общий ответ будет выглядеть следующим образом:
e^3
11) В этом пределе неизвестной стремится к бесконечности, если мы подставим в числитель и знаменатель бесконечность получится неопределенность бесконечность/бесконечность(бесконечность делить на бесконечность) В этом случае нужно и числитель и знаменатель разделить на большую степень которой является x^4 тогда предел будет равен: 0/2, общий ответ:0
12)В этом пределе во первых в числителе мы должны привести подобные и будет там 4x^2 а затем вынести в знаменателе те же самые x^2 как общий множитель и сократить на него, в итоге останется ответ
lim(x->0) 4/(3x^2+x^3-2)=4/-2=-2 - это и будет ответ
13) Этот предел является вторым замечательным и все выражение кроме 3 в степени будет равно числу е а общий ответ будет выглядеть следующим образом:
e^3
Вас заинтересует
2 года назад
2 года назад
8 лет назад
8 лет назад
10 лет назад
10 лет назад
10 лет назад