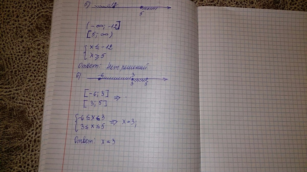
на рисунке 6. 19 изображены числовые промежутки Запишите пересечение числовых промежутков
Приложения:

Ответы
Ответ дал:
0
Вот смотри, вроде бы так решается это)
Приложения:


Ответ дал:
0
а 6
Ответ дал:
0
как делать
Ответ дал:
0
там 2 фото, если не показывает зайди с браузера.. это косяк этого сайта
Ответ дал:
0
а 5 6
Ответ дал:
0
спасибо)
Вас заинтересует
7 лет назад
10 лет назад
10 лет назад
10 лет назад