• Предмет: Алгебра
  • Автор: anore1
  • Вопрос задан 10 лет назад

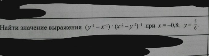
помогите с решением. ответ 20

Приложения:

Ответы

Ответ дал: Dassveta
0
(1/y-1/x)/(1/x²-1/y²)=((x-y)/xy)/((y²-x²)/(x²y²))=(x²y²)(x-y)/((y-x)(y+x)xy)=-xy/(x+y)=8*5/(10*6)/(5/6-8/10)=2/3/((50-48)/60)=(2*60)/(2*3)=20
Вас заинтересует