• Предмет: Алгебра
  • Автор: wwwvalya060319
  • Вопрос задан 10 лет назад

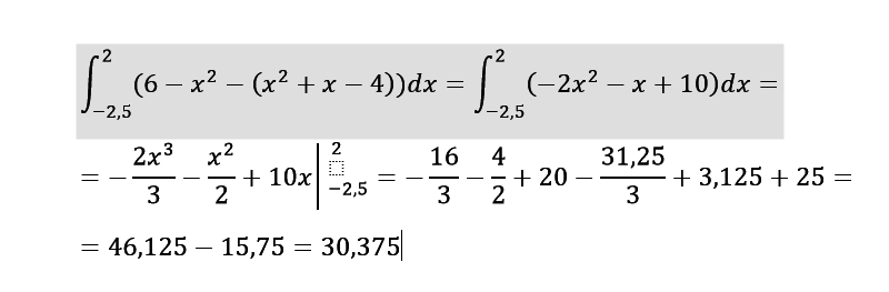
(Интеграл) Помогите пожалуйста найти площадь фигуры, ограниченной линиями y=x^2+x-4 и y=6-x^2

Ответы

Ответ дал: ShirokovP
0
смотри решение внутри

Приложения:
Вас заинтересует