Форумулы корней квадратного уравнения
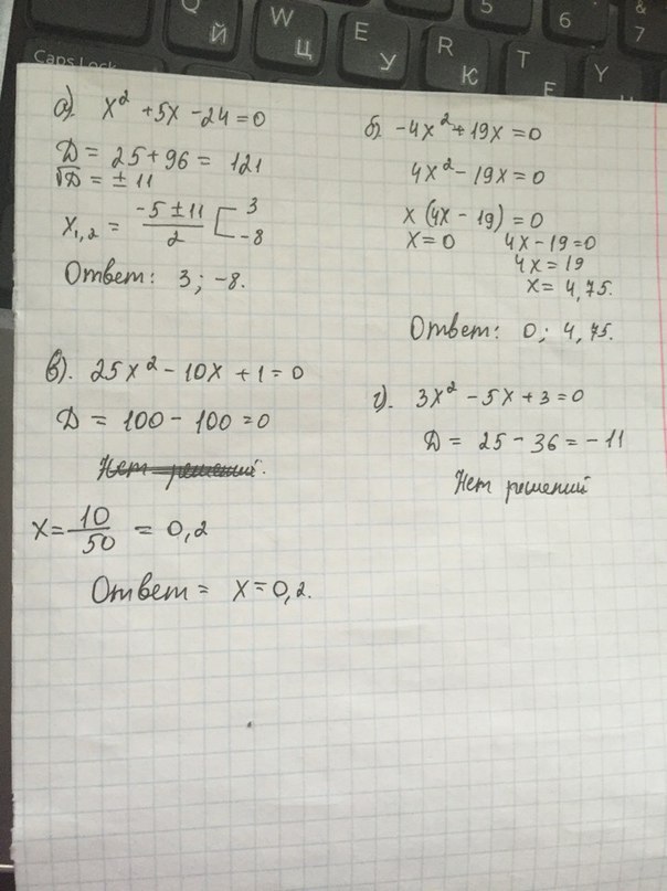
1)а)x^2+5x-24=0
b)-4x^2+19x=0
в)25 x^2-10x+1=0
г)3x^2-5x+3=0
Ответы
Ответ дал:
0
Через дискриминант решается
Приложения:
Вас заинтересует
3 года назад
3 года назад
8 лет назад
10 лет назад
10 лет назад
11 лет назад
11 лет назад