• Предмет: Химия
  • Автор: vladi5789mirr
  • Вопрос задан 10 лет назад

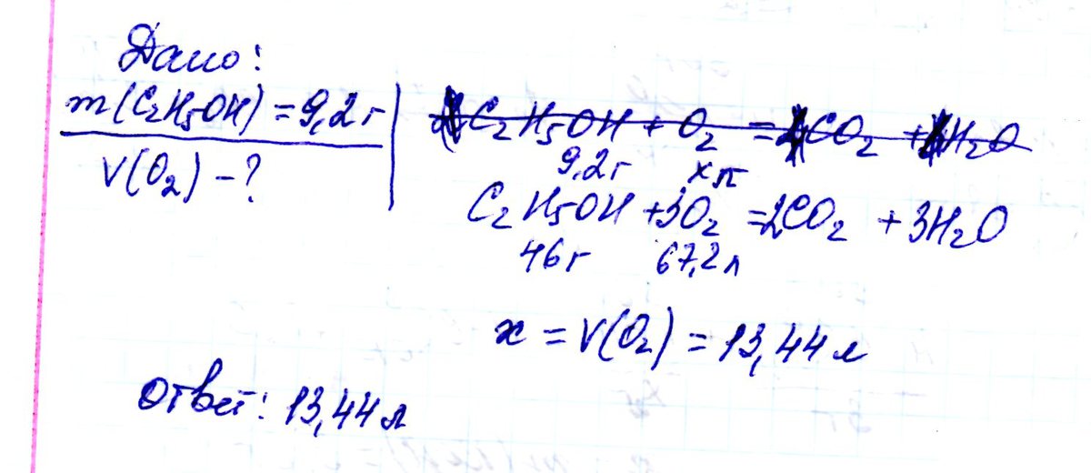
При горении в кислороде этилового спирта C2H5OH образуются углекислый газ и вода. Напишите уравнение реакции. Рассчитайте, какой объём кислорода потребуется для сгорания 9,2 г спирта.

Ответы

Ответ дал: mrvladimir2
0
Решение задачи см. в приложении
Приложения:
Вас заинтересует