Ответы
Ответ дал:
0
Вроде так, но если есть, где проверить-проверь.
Забыла отметить, что
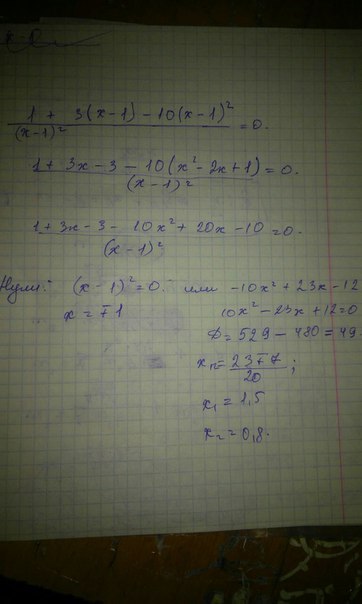
Ответ :1,5; 0,8;
Забыла отметить, что
Ответ :1,5; 0,8;
Приложения:

Ответ дал:
0
Поправила. Решала наспех и забыла про ОДЗ, простите х) а с ответом сходится
Ответ дал:
0
Просто мне удобнее в десятичных дробях ответ скидывать)
Ответ дал:
0
допиши пожалуйста, что дальше писать? или где у тебя ошибка? зарание спасибо огроомноее
Ответ дал:
0
ой все поняла
Ответ дал:
0
ошибка была в том, что я не учла сначала ОДЗ)
Вас заинтересует
2 года назад
2 года назад
7 лет назад
7 лет назад
10 лет назад
10 лет назад