Ответы
Ответ дал:
0
должно быть правильно)))
Приложения:

Ответ дал:
0
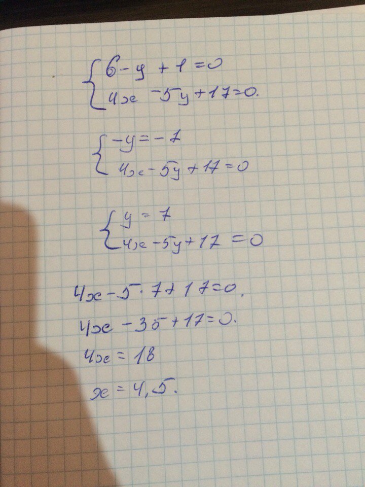
из 1 находим y
y=7
поставляем это число во второе уравнение
4x-5×7+17=0
4x-35=-17
4x=18
x=18/4
x= 4.5
ответ: x=4.5 y= 7
y=7
поставляем это число во второе уравнение
4x-5×7+17=0
4x-35=-17
4x=18
x=18/4
x= 4.5
ответ: x=4.5 y= 7
Приложения:

Ответ дал:
0
хотя нет, я не правильно решил:)
Вас заинтересует
2 года назад
2 года назад
7 лет назад
7 лет назад
10 лет назад
10 лет назад
10 лет назад