Ответы
Ответ дал:
0
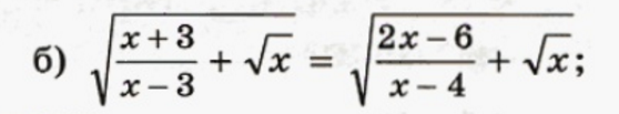
1) Подносим обе части уравнения во квадрат: x + 3 /x - 3 + √x = 2x - 6 / x - 4 + √x ; x - 4 > 0
x + 3 / x - 3 = 2x - 6 / x - 4 ; x > 4
2) (x + 3)(x - 4) - (2x - 6)(x - 3)= x²- 4x + 3x - 12 - 2x² + 12x - 18 = - x² + 11x - 30
x² - 11x + 30 = 0
x1 = 5 x2 = 6
Ответ : (5;6)
x + 3 / x - 3 = 2x - 6 / x - 4 ; x > 4
2) (x + 3)(x - 4) - (2x - 6)(x - 3)= x²- 4x + 3x - 12 - 2x² + 12x - 18 = - x² + 11x - 30
x² - 11x + 30 = 0
x1 = 5 x2 = 6
Ответ : (5;6)
Вас заинтересует
3 года назад
3 года назад
8 лет назад
8 лет назад
10 лет назад
10 лет назад