• Предмет: Химия
  • Автор: saskenev
  • Вопрос задан 10 лет назад

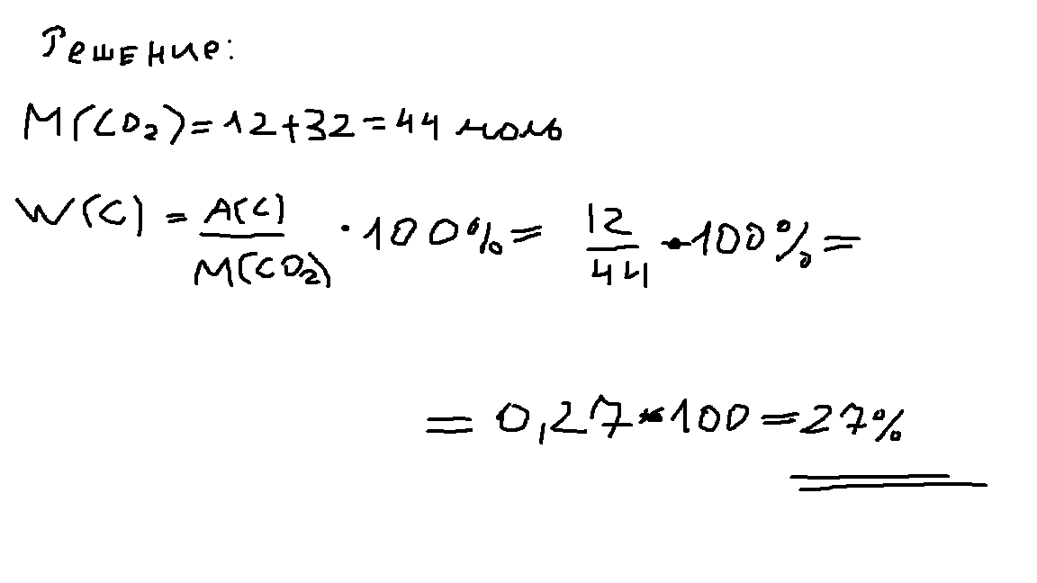
m(c)=1кг m(co2)=2,57 w(c)-? где w- омега

Ответы

Ответ дал: Phantomm
0
Вот решение. М-относительная молекулярная масса. 
Приложения:
Вас заинтересует