• Предмет: Алгебра
  • Автор: TaylorVills
  • Вопрос задан 10 лет назад

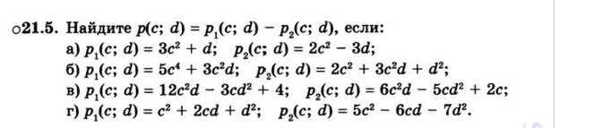
Помогите очень надо! Даю 55 баллов. Надо делать под буквами В и Г

Приложения:

Ответы

Ответ дал: Ananasy1
0
незнаю что дальше, вроде сократить никак
Приложения:
Ответ дал: TaylorVills
0
Спасибо
Вас заинтересует